橡胶超弹性材料-橡胶垫静刚度-ABAQUS
橡胶材料作为一种兼具非线性弹性变形以及能量耗散特性的高分子材料,往往通过超弹性和粘弹性来其模拟力学特性。在汽车行业应用广泛,底盘的各种衬套、隔振垫。本文简单介绍橡胶材料的超弹性本构及材料参数的拟合,Mooney-Rivlin 本构模型与橡胶硬度的关系,最后在abaqus软件中计算橡胶垫静刚度。后续对橡胶垫的定频动刚度、扫频动刚度、隔振率及解耦率进行分析。
一 橡胶材料的超弹性本构模型
材料的本构关系指的是当某一物理量作用于材料时,引发其他物理量变化的内在联系。例如,在力或应力作用下使材料产生的变形或应变,这一关系本质上是材料物质特性的体现。本构模型则是此类关系的数学或力学表达形式。
对于橡胶类材料而言,作为典型的超弹性材料,其本构模型通常采用应变能密度函数 W 进行精确描述:
W = W(λ₁, λ₂, λ₃) = W(I₁, I₂, I₃)
式中 Iᵢ 为三个变形张量不变量,λᵢ 是三个方向的主伸长比,并且 Iᵢ 与 λᵢ 满足:
I₁ = λ₁² + λ₂² + λ₃²
I₂ = λ₁²λ₂² + λ₂²λ₃² + λ₁²λ₃²
I₃ = λ₁²λ₂²λ₃²
由橡胶材料不可压缩性以及各向同性可知,W 对三个主伸长比对称且均为二次幂函数,并且 I₃ = λ₁λ₂λ₃ = 1,因此式中第一、第二不变量可写为:
I₁ = λ₁² + λ₂² + λ₃²
I₂ = 1/λ₁² + 1/λ₂² + 1/λ₃²
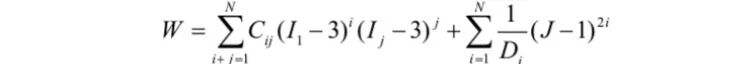
将上述公式代入应变能密度函数 W 中,即可得到其多项式表达式:
Dᵢ 用于判断是否为可压缩性材料,若材料为完全不可压缩性,则 Dᵢ 均为 0。
N 表示多项式的阶数,N 越大,橡胶材料的力学特性越准确,但相应的模型的复杂度以及计算难度也会成倍的增加,因此需要结合实际情况来选择。
J 为体积比,若材料为完全不可压缩性,则 J = 1。
上述公式衍生出了许多不同的表达式,也就是不同的超弹性本构模型,常见的下面3种:
1.1 如果只保留函数的第一项,就可以得到 Neo-Hooken 模型:
W_NH= C₁₀(I₁−3)
此模型适用于应变较小时的工况,若发生大变形时,其预测结果的精度会降低,预实验结果对比偏差较大。
1.2 通过截取应变能密度函数级数展开式的前两个多项式项,则可以构建经典的 Mooney-Rivlin 本构模型:
W = C₁₀(I₁−3) + C₀₁(I₂−3)
式中 C₁₀ 和 C₀₁ 称为 Mooney 常数。该本构模型能够有效覆盖中小变形幅度的应用场景,在较大拉伸应变幅值下仍能保持较高的预测精度。由于精度较高且计算复杂度较低,Mooney-Rivlin在实际工程中是被应用最为广泛的本构模型,并且大量的研究者将Mooney常数和材料硬度、杨氏模量等特性参数之间建立了数学关系,在实际的工程应用中起到了非常巨大的作用。1.3 如果舍弃I₂,并且仅仅保留小于等于三阶的项,即可得到Yeoh模型:
W_Yeoh = C₁₀(I₁ − 3) + C₂₀(I₁ − 3)² + C₃₀(I₁ − 3)³
Yeoh本构方程在处理复杂多轴加载工况时展现出独特的优势,其具备较宽的应变描述范围。然而该模型在中低应变幅值条件下的拟合精度相对较低,难以准确反映材料在中小变形阶段的力学行为特征。二 Mooney-Rivlin参数获取
Mooney-Rivlin在实际工程中应用广泛,以次模型进行后续研究,参数获取有2种方法:
一是有实验数据,通过曲线拟合工具拟合出参数;
二是无实验数据有橡胶邵氏A硬度,通过经验公式计算。
2.1 较准确的超弹性材料本构参数需要通过单轴拉伸、双轴拉伸、平面拉伸、体积压缩试验的曲线进行拟合。
仅以单轴拉伸试验应力应变曲线为例,评估出超弹性参数。
在Property Module 中创建一个超弹性的材料,在test data选择试验类型,输入应力应变曲线。
选中建立的超弹性材料Material-1,选择Evaluate,打开材料评估的界面如下图。
在Strain Energy Potentials标签页选择对应应变能的能量函数及函数的阶次。
软件计算完得到对应应变能函数和阶次的相关参数的值以及稳定信息。通过曲线可以直观的表达出所选的材料本构与实验数据之间的匹配程度。
2.2 橡胶硬度与Mooney-Rivlin参数的关系
正如前文介绍,Mooney-Rivlin本构由于精度较高且计算复杂度较低,在实际工程中被应用最为广泛的本构模型,并且大量的研究者将Mooney常数和材料硬度、杨氏模量等特性参数之间建立了数学关系,在实际的工程应用中起到了非常巨大的作用。
弹性模量与剪切模量的关系
理论公式(基于泊松比)
关系式:G = E / (2 * (1 + ν)), 橡胶ν≈0.5,可简化为 G ≈ E/3
橡胶近似不可压缩,泊松比(ν)非常接近0.5。
剪切模量与Mooney-Rivlin参数
C10,C01共同定义了材料的初始剪切模量 G
关系式:G = 2 * (C10+ C01)
这是Mooney-Rivlin两参数模型下,材料常数与初始剪切模量的直接关系。
Mooney-Rivlin参数比值
经验范围:C01/C10≈0.05 ~ 0.5, 常用 0.2~0.3
比值影响中大应变下的曲线形状,需通过实验或仿真校准确定。
橡胶硬度与弹性模量之间没有统一的理论公式,但工程上普遍采用一些经验公式进行估算
不同公式因拟合数据和应用背景不同,结果存在差异。
以下收集的工程中常用的几个经验公式,均以MPa为单位,硬度举例邵氏A50、邵氏A70为例。
2.2.1表达式:E≈0.0981*(56+7.62336*HA)^[0.137505*(15.75-0.0194*HA)]
特点:在橡胶工程领域被广泛引用和使用,综合适用性较好。
举例:
邵氏A50 E=1.68MPa
邵氏A70 E=4.07MPa
2.2.2表达式:E ≈ (15.75 + 2.15*HA) / (100 - HA)
特点:结构简单,但在硬度极高(>90 HA)时计算值会急剧增大,需谨慎使用。
举例:
邵氏A50 E=1.80MPa
邵氏A70 E=5.89MPa
2.2.3表达式:线性近似公式 E ≈ (0.02 ~ 0.04) * HA特点:一个非常简便的快速估算方法,在常见硬度范围(40-80 HA)内可提供大致参考。
举例(中值0.03):
邵氏A50 E=1.50MPa
邵氏A70 E=2.10MPa
2.2.4表达式:E ≈ 1.2711 * e^(0.046 * HA)
特点:由指数函数拟合,形式简洁,计算方便。
举例:
邵氏A50 E=1.25MPa
邵氏A70 E=3.03MPa
2.2.5表达式:二次多项式拟合 E ≈ 0.0151*HA² - 0.0105*HA + 0.0284
特点:通过实验数据进行的多项式拟合。
举例:
邵氏A50 E=1.84MPa
邵氏A70 E=4.69MPa比较结果可以看出:
1. 不同公式结果差异明显:例如对于70HA的橡胶,计算结果从3.03 MPa到5.89 MPa不等,最大差异可达94%。这凸显了经验公式的局限性。
2. 硬度越高,差异越大:70HA时的计算结果离散度远高于50HA,说明硬度越高,不同公式的预估越不确定。
三 橡胶垫静刚度分析
橡胶垫模型,通过截面草图旋转得到,尺寸如图所示。
静刚度材料设置超弹性参数,密度可有可无。D1=0意味着体积不可压缩。
使用两个静力分析步,第一步预加载,第二步刚度计算。
上下两个端面各设置一个耦合约束,一个用作约束一个用作加载。
BC-1约束rp1所有自由度,
BC-3约束橡胶垫中间孔的径向自由度
BC-2的step-1在轴向压缩1mm,step-2加载位移边界条件。
网格用全6面体网格,混合单元,缩减单元根据收敛情况进行设置
静刚度计算结果271N/mm
中文:本文版权归 [小机灵鬼灬 仿真软件study] 所有,未经书面许可,禁止转载、摘编或商用。
English:Copyright © 2026 [小机灵鬼灬 仿真软件study]. All rights reserved. No reproduction or commercial use without prior written permission.
- 上一篇:人工智能在 CAE 仿真分析中的应用与价值 2026/2/25
- 下一篇:基于 ABAQUS 的钢结构螺栓连接有限元分析案例 2026/2/7
